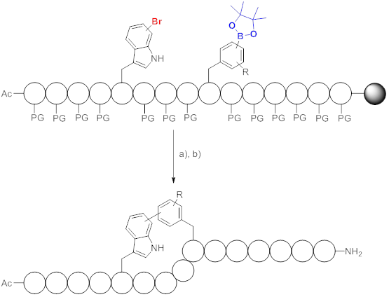
Halogenated compounds are important building blocks for metal-catalyzed cross-coupling reactions, e.g. Suzuki-Miyaura cross-coupling (SMC), which gives access to biaryl motifs. These are widespread in nature and display important biological properties due to their restricted flexibility and enhanced selectivity. Owing to their ambient reaction conditions and high selectivity halogenases have recently emerged as useful biocatalysts for C-H functionalization. Flavin-dependent halogenases only require halide salts, oxygen and FADH2 as a cofactor for regioselective halogenation. A remarkable feature of these enzymes is their strict regioselectivity, which allows for halogenation at electronically disfavored position C5 (PyrH), C6 (Thal) or C7 (RebH) of the indole moiety. In previous publications the combination of biocatalytic halogenation and Suzuki-Miyaura cross-coupling reactions under aqueous conditions was shown. This prompted us to apply this methodology to combine biocatalytic halogenation and chemocatalytic side chain cyclization by Suzuki-Miyaura cross-coupling for the synthesis of RGD peptides for structure-activity relationship studies. RGD peptides have gained considerable notice over the past decades as potential target for cancer therapy and diagnosis.

Room: F2-246
Telephone: +49 (0) 521 106 2145
E-Mail: laura.cerveson@uni-bielefeld.de

Room: F2-246
Telephone: +49 (0) 521 106 2145
E-Mail: s.dachwitz@uni-bielefeld.de

Room: F2-270
Telephone: +49 (0) 521 106 2148
E-Mail: calvin.matula@uni-bielefeld.de

Room: F2-270
Telephone: +49 (0) 521 106 2148
E-Mail: b.nachtigall@uni-bielefeld.de